
376
views
views
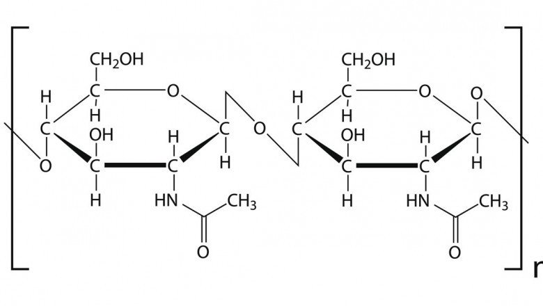
Chitin
The production of Chitin and its derivatives is typically accomplished through the deacetylation of chitosan, which is obtained from the shells of crustaceans such as shrimp and crab. The shells are first ground into a fine powder, and then subjected to an alkaline treatment to remove the calcium carbonate and other minerals. The resulting chitosan is then deacetylated to produce chitin. Chitin is a versatile and abundant biopolymer that has been the subject of much research and development over the years. Its unique properties, including its strength, toughness, biodegradability, and antimicrobial activity, make it a promising material for a wide range of applications in fields such as medicine, agriculture, and industry.
Comments
0 comment